PlumeMapper:
An Innovation in Ambient Odour Assessment.
Traditional approaches to odour impact assessment
Impacts on communities from odorous air pollution have gained increasing attention in recent years to become an important environmental issue.
Different approaches have been used across the world to measure and assess the level of impact (as nuisance and/or health effects) caused by odorous air pollution. Approaches include:
Air emission source sampling, testing using dynamic olfactometry to determine whole gas mixture odour concentration in odour units (ou), and atmospheric dispersion modelling to predict ground-level odour concentrations.
Air emission source sampling, chemical testing to determine the concentrations of individual odorous compounds, and atmospheric dispersion modelling to predict ground-level pollutant concentrations.
Chemical monitoring to measure concentrations of individual odorous compounds in ambient air.
Ambient odour intensity assessment using odour assessor sniffing patrols to evaluate the perceived intensity of odours in ambient air.
Field olfactometry, a technique used by odour assessors during sniffing patrols, to measure odour concentrations (as dilutions to threshold) in ambient air.
Monitoring of odour complaints from the community.
One or more of these techniques may be used to assess odour impact. Ambient odour intensity assessments can be used to:
Collect empirical data to directly assess odour impact in the environment.
Ground truth odour dispersion model predictions and evaluate model accuracy.
Determine diffuse source/site odour emissions using the observed odour plume’s ground level footprint and dispersion modelling techniques.
Verify odour complaints.
Background of odour assessment techniques
Describing the characteristics of odours
Key attributes to describe the characteristics of individual odours in the field are (collectively known as CICOP):
Concentration
(dilutions to threshold). Measured using a technique known as dynamic olfactometry.
Intensity
Perceived odour strength evaluated as:
7-point scale:
not perceptible, very weak, weak, moderate (distinct), strong, very strong, or extremely strong (German VDI3882.1 standard approach).
3-point scale:
no odour, subtle odour, or obvious odour (EPA Victoria approach).
The concentration of an odour above its perception threshold and its perceived intensity are understood to be related as a logarithmic function, derived theoretically in accordance with the Weber-Fechner Law, or as a power function, represented by Steven’s Law.
Character:
The characterisation of an odour using a reference vocabulary, often presented in the form of an odour wheel.
Offensiveness, or Hedonic Tone:
A measure of the pleasantness or unpleasantness of an odour.
Persistency:
The rate at which an odour’s perceived intensity decreases as the odour is diluted in the atmosphere downwind from the source.
Assessing odour impact
Regulatory odour guidelines generally consider five important factors (collectively known as FIDOL) relating to an odour’s effect on the environment when determining whether environmental nuisance or harm has been caused. These factors are:
Frequency:
How often receptors are exposed to odours.
Intensity:
Perception of the odour strength or odour concentration.
Duration:
Elapsed time during a particular odour episode.
Offensiveness:
The subjective rating of the (un)pleasantness of an odour.
Location:
Sensitivity or tolerance of the receptor, related to the land use.
Therefore, a method for assessing odour nuisance potential should consider both the CICOP and the FIDOL attributes.
Existing methods/practices in odour impact assessment
Field ambient odour assessment surveys are a robust method for collecting empirical information about the observable odour plume and related exposures. The method provides for the collection of information that is important in the characterisation of an odour, the extent of the odour plume’s reach, the frequency and duration of its impact and the sensitivity of the receiving environment.
Method standards have been developed over the past 20 years by several European countries and have now been standardised as European Union standards:
EN16841 (2016a) Ambient Air - Determination of odour in ambient air by using field inspection, Part 1: Grid Method.
EN16841 (20161b) Ambient Air - Determination of odour in ambient air by using field inspection, Part 2: Plume Method.
The two standards describe three different methods for performing field inspections and gathering odour data:
Grid method
Stationary plume method
Dynamic plume method
Grid Method
The Grid Method is used when the source of odour/s is unknown or where multiple sources are required to be investigated. Measurement locations are set out across a grid covering the area of investigation which encompasses the suspected sources of the odour emissions and locations of sensitive receptors. Measurements are conducted at grid intersection node locations systematically to cover all periods of the day with little regard for the meteorological conditions at the time, though the important weather parameters are measured and recorded for use in the analysis. Odour character (and/or source, if known) is recorded, while recording the odour strength is optional. Measurements (known as Timed Measurements) are made by multiple assessors in different locations as sets of 60 observations compiled at 10 second intervals over a period of 10 minutes. Based on this measurement technique over the duration of a 6 to 12 month survey, frequency and duration of impact statistics can be calculated.

Plume Methods
The Plume Methods, comprising stationary or dynamic plume investigation techniques, are considered more practical and efficient when the source of the odour is known and isolated, though a group of odour sources located in proximity may also be investigated using these approaches. The principal objective of the Plume Methods is to determine the footprint (extent) of the odour plume/s. Using stationary or dynamic plume transects, assessors take measurements downwind of the source, evaluating whether they are within the plume or not. Data collected focuses on the positive identification of the target odour source (or character) and weather parameters, while evaluating the strength (intensity) of the odour is again optional.
The Stationary Plume Method
utilises assessor groups of five or more people that spread out along a transect perpendicular to the wind direction (and plume trajectory) to simultaneously each conduct a Timed Measurement (i.e. evaluating the presence of the target odour/s at 10 second intervals over a measurement period of 10 minutes). The position of the assessors along the transect are arranged across the plume so that the assessors at the ends of the transect are outside of the plume extents. The group then repeats the measurement procedure by moving their transect formation closer to or further from the odour source. The survey is complete when the width and length of the plume is able to be determined.


The Dynamic Plume Method
is based on at least two assessors working independently to assess the odour plume footprint conducting measurements along various transects downwind of the odour source. The assessors are somewhat freer to move about and investigate the downwind plume extent, can typically cover significantly more ground and collect significantly more measurement data, with at least 20 single measurements at different distances from the source. Odour data is collected as Instantaneous Measurements (i.e. observed the odour over a period of 30 seconds to 2-3 minutes) or as Timed Measurements (i.e. 60 observations at 10 second intervals over 10 minutes).


Modified dynamic plume method
A case study is presented using a modified plume measurement method that is designed for improved efficiency, accuracy, maximised data collection while saving costs. The method is based on:
Strategic mapping of the odour plume beyond the site boundary by two odour assessors
Instantaneous odour measurement at each sampling location, including
Evaluation of the odour intensity and hedonic tone on the VDI 3882.1 and 3882.2 scales
Identification of odour character and/or source
Measurement of meteorological variables such as wind speed and direction, temperature, relative humidity, pressure, precipitation, cloud cover and cloud type
Data measured from a stationary automatic weather station may also be integrated into the analysis
This approach allows for:
A greater area of the field and plume to be assessed during each survey
An increased measurement resolution to define the targeted plume’s dimensions
The evaluation of both CICOP and FIDOL attributes
A deeper understanding of the ambient weather conditions and the effect of topographical features and other obstacles that influence plume dispersion
Case study:
Reverse amenity odour assessment for a residential development application near an abattoir
A development application for a residential subdivision in Victoria required an odour impact assessment due to the encroachment of the land parcel on the regulatory odour separation buffer applied to a sheep and cattle abattoir. The odour buffer was set as a 500 metre radius around a centre point located within the facility’s wastewater treatment plant (DAF building). The developer sought a reduction in the odour buffer to 400 m to allow for the remaining portion of the land to be developed. A reverse amenity odour impact assessment was conducted using the modified dynamic plume survey method to assess the potential odour nuisance footprint of the abattoir. In accordance with Environmental Protection Authority Victoria guidance, a moderate or distinct (VDI3882.1 level 3) level of odour (which is equivalent to an obvious level of odour on the EPAV scale) was set as the benchmark intensity for causing odour nuisance.
Study area
Key odour sources
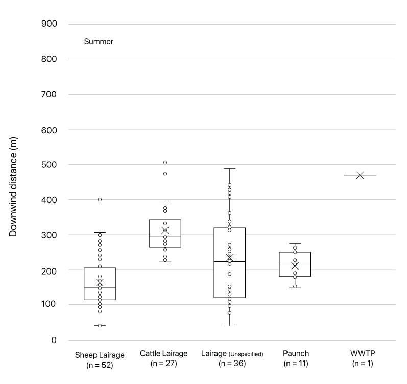
at the abattoir included the cattle and sheep lairage areas, paunch compost stockpiles, the wastewater treatment plant, and the biofilter treating odour from wastewater treatment plant processes.


The setting around the abattoir was a diverse mix of medium density residential, rural fields/parkland/green space, low density rural residential and commercial properties. The proposed residential development was situated to the southeast of the abattoir site. The development site was segregated by the abattoir’s 500 m odour buffer. The objective of the assessment was to determine whether the odour buffer could be reduced to 400 m without causing odour nuisance at the future residential development.
Study approach
Field ambient odour survey data collection and analyses:
Two trained odour assessors conducting surveys in tandem.
Surveys conducted during summer and winter.
25 odour surveys comprising a total of 649 paired measurements.
Surveys conducted during different times of the day and varying meteorological conditions.
Data was assessed:
as individual survey measurements
as aggregated survey measurements by season and combined for the entire project
by odour source and frequency of impact by intensity
by intensity as a function of distance from the source
by intensity as a function of distance from the source and wind speed
The distance in which each odour source was detected at downwind sampling locations was determined.
The maximum distance for each source was used to calculate the potential odour footprint per intensity level. This provided for a realistic odour buffer to be calculated for each source and the entire site by perceived odour intensity level.
As part of this study, we developed an integrated software platform called 'plumemapper', which is effective at collecting, handling and analyzing large sets of ambient odour survey data. The platform comprises an application for in-field data collection and results mapping on a mobile device, cloud data storage and database, and a web based application for account and data management, data mapping, statistical interpretation and presentation, data interpretation and reporting.
Results and Discussion
Map individual odour intensity survey results to analyse plume extent, odour intensity, and wind speed conditions.


Analyse combined measurement data for trends from all 25 surveys.
Filter and analyse data by odour intensity, hedonic tone, source, odour character, wind direction, wind speed and other meteorological variables.
Compare odour impact data in different areas.
Compare odour impact data by user defined conditions such as time of day, season or with/without odour controls.

Analyse the frequency distributions of odour presence by sources, during different conditions, e.g. summer, winter and combined survey campaigns.

The dominant odour was determined to be the animal lairage sources, in particular, the sheep lairage. During the summer campaign, some measurements could not be distinguished between the sheep and cattle lairage odours and consequently the odour source was identified as lairage only. With more experience across the surveys, assessors were able to more clearly identify the difference between sheep and cattle lairage odours.
The duration of the presence of each odour was also recorded for each measurement and analysed. Odour duration during instantaneous measurements is evaluated subjectively based on the following scale:
Fleeting: 1 - 10% of the time
Intermittent: 11 - 50% of the time
Mostly present: 51 - 90% of the time
Continuously present: 91 - 100% of the time.

Odour observations during the measurement campaign indicated that during any odour event at a measurement location, odour was continuously present for less than 5% of the time and mostly to continuously present for approximately 15% of the time. This duration of observable odour tended to be slightly higher during the summer than in the winter. This suggests that when odour is detectable from time to time it comes and goes rather than persists.
Annual, seasonal and diurnal wind data
from the closest representative automatic weather station (AWS) are used to assess the probability of winds travelling in the direction of sensitive receptors from the odour source.

The critical wind directions likely to transport odours from the abattoir sources to the proposed development are between the west and northwest. AWS data indicates that winds from the critical W to NW sector occur for 33% of the year. These winds tend to be more frequent in late autumn to winter period.
The distributions of the distances downwind each odour was detected from its source were assessed. The analysis was made by season and the overall combined dataset.



Odour intensity (of all any odour character or source) was analysed by the distance downwind from the odour source. This analysis was also extended to intensity by distance in relation to the wind speed for seasonal and combined datasets.



Odour buffers
The total combined data set for both seasons and all conditions were used to determine the potential maximum odour footprint of each source. The odour surveys determined that only very weak, weak and moderate intensity odours were detectable beyond the boundary of the abattoir. The footprint of each odour intensity level was calculated from the maximum distance that each intensity was detected from each source. In accordance with EPAV guidance, the footprints of moderate intensity odours from each source were combined to determine the extent of the area with the potential to experience odour nuisance.

Conclusion
Based on a detailed survey campaign conducted over varying seasonal, diurnal, meteorological and site operational conditions, the assessment determined that the abattoir was unlikely to cause odour nuisance at the proposed development.
Future Directions
Realtime streaming of AWS data.
Realtime streaming of air quality sensor data.
Integration of meteorological forecasting
Integration of a plume dispersion model into PlumeMapper to predict source odour emission rate data based on observed plume dimensions and meteorology.
Odour impact prediction and forecasting using statistical analysis and condition matching.
This integrated system will facilitate a better understanding of site-specific plume dispersion and nuisance assessment based on evidence. This will allow for better decision-making and land use planning.
References
EN16841 (2016a) Ambient Air - Determination of odour in ambient air by using field inspection, Part 1: Grid Method
EN16841 (20161b) Ambient Air - Determination of odour in ambient air by using field inspection, Part 2: Plume Method.
EPAV, Guidance for assessing odour, Publication 1883, June 2022.
EPAV, Guidance for field odour surveillance, Publication 1881, May 2021.